Trong cuộc sống hằng ngày, có những hợp chất hóa học tuy nhỏ bé nhưng lại ảnh hưởng lớn đến chất lượng sản phẩm chúng ta sử dụng. Propionic acid là một ví dụ điển hình. Nhờ sự hiện diện của nó, thực phẩm có thể tươi lâu hơn, các sản phẩm công nghiệp thêm bền vững và tiện lợi. Chính sự linh hoạt trong ứng dụng đã giúp hợp chất này xuất hiện ở nhiều lĩnh vực quen thuộc quanh ta.
Propionic Acid là gì?
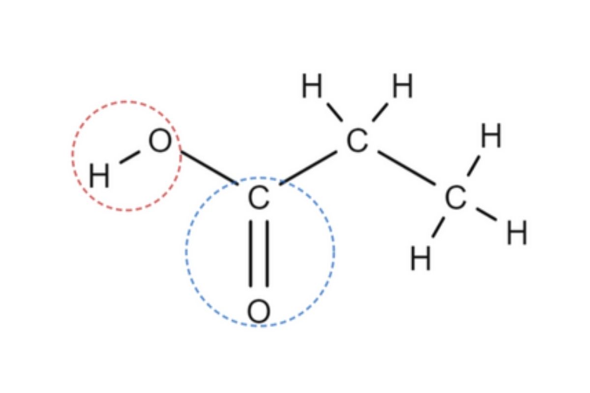
Trong hóa học hữu cơ, axit propionic có công thức là CH₃CH₂COOH, thuộc nhóm axit béo chuỗi ngắn với đặc trưng là mùi hăng dễ nhận biết. Cấu trúc phân tử gồm ba nguyên tử cacbon và một nhóm carboxyl (-COOH) gắn ở cuối mạch, chính đặc điểm này quyết định nhiều tính chất quan trọng cũng như khả năng ứng dụng của hợp chất trong các lĩnh vực thực phẩm và công nghiệp hóa chất.
Đặc điểm vật lý và hóa học của Axit Propionic
Ở trạng thái bình thường, propionic acid là chất lỏng không màu, tan hoàn toàn trong nước cũng như nhiều dung môi hữu cơ như ethanol, chloroform hay ether. Với điểm nóng chảy khoảng –20,83°C và khối lượng phân tử 74,08 g/mol, hợp chất này thể hiện rõ đặc tính của nhóm axit cacboxylic khi các phân tử có xu hướng tạo liên kết hydro, nhờ đó thường tồn tại thành từng cặp trong cả thể lỏng lẫn thể hơi.

Đây là chất lỏng không màu, tan hoàn toàn trong nước cũng như nhiều dung môi hữu cơ khác.
Trên phương diện phản ứng, propionic acid dễ dàng tham gia các quá trình tạo amide, este, anhydride hoặc clorua, đồng thời xuất hiện trong phản ứng Hell–Volhard–Zelinsky để tạo axit 2-bromopropanoic – một chất trung gian quan trọng trong tổng hợp hữu cơ.
Những tính chất này đều bắt nguồn từ công thức cấu tạo của axit propionic, nơi nhóm carboxyl (-COOH) gắn ở cuối mạch ba nguyên tử cacbon, quyết định cả hoạt tính hóa học lẫn khả năng ứng dụng rộng rãi trong công nghiệp và bảo quản thực phẩm.
Vai trò và lợi ích của Axit Propionic trong thực tiễn
Trong đời sống và công nghiệp, propionic acid nổi bật với nhiều ứng dụng quan trọng mà không phải hợp chất hữu cơ nào cũng có thể thay thế. Thứ nhất là trong lĩnh vực thực phẩm, nó được sử dụng như một chất bảo quản tự nhiên nhờ khả năng ngăn chặn vi khuẩn và nấm mốc. Chỉ cần bổ sung một lượng nhỏ, bánh mì và các sản phẩm nướng có thể kéo dài hạn sử dụng từ vài ngày lên đến cả tuần mà không làm thay đổi hương vị, đồng thời giảm đáng kể tỷ lệ sản phẩm hỏng do mốc.
Ứng dụng thứ hai nằm ở ngành chăn nuôi, nơi hợp chất này được dùng để bảo quản thức ăn ủ chua (silage) cho gia súc. Khi phun trực tiếp vào khối thức ăn, nó ức chế quá trình phân hủy và giữ lại giá trị dinh dưỡng lâu hơn, giúp người nông dân tiết kiệm chi phí bảo quản và hạn chế hao hụt. Ngoài ra, việc bổ sung vào nước uống cũng hỗ trợ kiểm soát vi sinh vật gây hại, góp phần cải thiện sức khỏe vật nuôi.

Hợp chất này nổi bật với nhiều ứng dụng quan trọng.
Thứ ba, axit propionic có tác dụng gì trong công nghiệp hóa chất thì có thể thấy rõ ở vai trò nguyên liệu trung gian. Nó được dùng để sản xuất cellulose-acetate-propionate – một loại nhựa có tính bền cơ học cao, được ứng dụng trong ngành bao bì và vật liệu kỹ thuật. Không chỉ dừng ở đó, hợp chất này còn góp mặt trong quá trình điều chế polymer nhựa khác, đóng vai trò nền tảng cho nhiều sản phẩm công nghiệp.
Cuối cùng, một ứng dụng ít được chú ý nhưng lại rất thiết thực là trong lĩnh vực hương liệu và dược phẩm. Propionic acid tham gia vào việc tổng hợp các hợp chất tạo mùi, giúp tạo ra hương vị nhân tạo trong thực phẩm và đồ uống, đồng thời cũng là thành phần quan trọng trong một số loại thuốc và thuốc trừ sâu.
Axit Propionic được điều chế như thế nào?
Hiện nay, propionic acid được sản xuất chủ yếu bằng phương pháp hóa học, trong đó quan trọng nhất là phương pháp hydrocarbonyl hóa ethylene sử dụng chất xúc tác nickel carbonyl. Phương pháp này phản ứng ethylene với carbon monoxide và nước ở nhiệt độ từ 250 đến 320°C, dưới áp suất cao, tạo ra propionic acid với hiệu suất lớn.

Nó được sản xuất chủ yếu bằng phương pháp hóa học.
Bên cạnh đó, phương pháp lên men vi sinh sử dụng các chủng vi khuẩn Propionibacterium cũng được nghiên cứu để sản xuất propionic acid từ nguyên liệu sinh học, tuy nhiên sản lượng và hiệu quả công nghiệp hiện vẫn còn hạn chế do các yếu tố như ức chế sản phẩm và tạp chất phụ tạo ra trong quá trình lên men.
Hướng dẫn bảo quản Propionic Acid trong kho hóa chất
Trong quá trình lưu trữ, propionic acid cần được bảo quản đúng cách để vừa duy trì chất lượng sản phẩm vừa đảm bảo an toàn cho kho hóa chất. Loại axit này có đặc tính dễ bay hơi và có thể gây cháy khi tiếp xúc với các chất oxy hóa mạnh, vì vậy kho chứa phải được bố trí ở nơi khô ráo, thoáng mát, tránh hoàn toàn ánh nắng trực tiếp cũng như các nguồn nhiệt cao. Bao bì hay thùng chứa nên được lựa chọn từ những vật liệu có khả năng chống ăn mòn, phổ biến nhất là thép không gỉ hoặc nhựa chuyên dụng đạt chuẩn lưu trữ hóa chất. Sau khi sử dụng, việc đóng kín nắp bao bì là rất quan trọng nhằm hạn chế tình trạng bay hơi, thất thoát và làm giảm chất lượng sản phẩm theo thời gian.
Bên cạnh đó, môi trường bảo quản cần được trang bị hệ thống thông gió hiệu quả để tránh sự tích tụ của hơi axit trong không khí, vốn có thể gây hại cho sức khỏe và làm tăng nguy cơ cháy nổ. Việc tuân thủ các nguyên tắc này không chỉ giúp duy trì độ tinh khiết và tuổi thọ của propionic acid mà còn góp phần xây dựng một kho hóa chất an toàn, đáp ứng các tiêu chuẩn bảo quản quốc tế.
Nhà cung cấp Propionic Acid đáng tin cậy tại Việt Nam
Tại Việt Nam, propionic acid thường được nhập khẩu từ các tập đoàn hóa chất lớn trên thế giới, đảm bảo chất lượng cho nhiều mục đích sử dụng từ công nghiệp, thực phẩm đến dược phẩm. Trên thị trường, một số đơn vị phân phối có cung cấp sản phẩm đạt chứng nhận an toàn và chất lượng quốc tế, tuy nhiên để yên tâm hơn về nguồn gốc cũng như tiêu chuẩn, khách hàng nên lựa chọn những nhà cung cấp uy tín đã đạt các chứng chỉ như ISO, FDA hay FSSC 22000.

Với nhiều năm kinh nghiệm trong nhập khẩu và phân phối hóa chất, Hanimex cam kết mang đến sản phẩm đạt chuẩn quốc tế, đáp ứng đúng nhu cầu của doanh nghiệp và đảm bảo sự an toàn trong ứng dụng thực tiễn.
Ngày nay, propionic acid không chỉ được nhìn nhận như một thành phần hóa học cơ bản mà còn là giải pháp hữu ích cho nhiều lĩnh vực. Từ bảo quản thực phẩm, kiểm soát vi sinh vật trong chăn nuôi cho đến sản xuất polymer và hương liệu, hợp chất này đã chứng minh tính linh hoạt vượt trội. Việc ứng dụng đúng cách giúp doanh nghiệp tối ưu chi phí, nâng cao chất lượng sản phẩm và đáp ứng tốt hơn các tiêu chuẩn an toàn hiện đại.




